搜索關鍵字:
全國服務熱線





400-839-1983
氣體轉子流量計在測量的過程中,轉子的轉數與流體累積流量具有一定的比例關系,根據轉子的轉數即可計算出流體的流量。氣體轉子流量計轉子表面設置的的線形為漸開線線形,嚙合齒在使用過程中,兩個轉子之間的于齒面與齒面之間的接觸,接觸面較大,在轉動過程中,兩個轉子之間即發生相對滑動,又會發生相對滾動,導致轉子之間會發生磨損嚙合屬現象。氣體轉子流量計轉子的磨損會降低轉子之間的嚙合程度,進而會降低流量的測量精度。
JJG257-1994《轉子流量計檢定規程》上用鐘罩式或皂膜式氣體流量標準裝置對流量計刻度,標準刻度狀態下的標況流量。
是對試驗時流量計前狀態到刻度狀態的修正,這時刻度狀態等于標準狀態,試驗氣體和刻度氣體相同。若不是這種情況,就需要區分刻度狀態和標準狀態,增加部分參數,符號重新定義如表1所示。
3 刻度qN和qCN
3.1 標準狀態刻度
氣體轉子流量計的刻度與換算
使用鐘罩或皂膜等氣體流量標準裝置測量流量計前實際流量時,由下式求得:
使用標準轉子流量計測量流量計前實際流量時,由下式求得:
#FormatImgID_4#
使用鐘罩或皂膜等氣體流量標準裝置測量流量計前實際流量時,由下式求得:
#FormatImgID_5#
使用標準轉子流量計測量流量計前實際流量時,由下式求得:
#FormatImgID_0#
通過非標準狀態刻度后,由于使用狀態與刻度狀態一致,直接讀出的刻度流量顯示值就是用戶需要的流量值,不需要進行任何換算,提高了測量效率。
4 從qN換算到qmN和qm0
有些經過標準刻度的流量計實際使用狀態與刻度狀態不同,使用時需要換算,實際使用時測量流量計前壓力和溫度,流量計前實際流量用qm表示,公式如下:
#FormatImgID_1#
5 流量計前狀態的估計
流量計在系統中的正確安裝是上游安裝一個全開截止閥,下游安裝流量調節閥,在使用時,應緩慢地開啟上游的截止閥,然后用下游的流量調節閥調節流量,當流量計停止計量時應緩慢地關閉截止閥,然后再關閉流量調節閥。
但是現在許多廠家的流量計在上游基座上安裝針型流量調節閥用于減壓限流,確保轉子流量計的,下游無任何節流件,這時測量的流量計入口上游5倍公稱直徑范圍內的壓力其實是閥前壓,要確保壓力測量準確,拆卸基座,直接將氣源與玻璃錐管相連接來進行檢定,檢定后的復原經常不能保證密封質量,并且經常損壞玻璃錐管。
因為流量計下游無任何節流件,這種情況下測量流量計后壓是比較方便的,流量計后壓加上一個壓差估計值就近似的獲得流量計前壓。浮子上下游的壓力差等于重力減去動壓力與浮力之和,公式如下:
#FormatImgID_2#
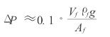
這個壓力差相對于重力是非常小的(估計約為10%),那么公式簡化為:
#FormatImgID_3#
φ3mm球形鋼浮子的壓力差估計值約為15Pa。
這時流量計后壓比閥前壓更接近流量計前壓,采用這種方法估計工作狀態壓力就不需要拆卸基座,檢定過程要簡便一些。
公司生產加工設備齊全,電子車間擁有一條現代化SMT流水線,擁有完善的電子設計、開發實驗室。機械車間擁有多臺精密數控車床、普通車床、加工、全自動環縫焊機、鉆床等設備,標定車間擁有兩條液體標定測試線,一條中小流量氣體標定測試線,保證每臺產品均經實際標定、校驗,以確保產品品質。